MACOM MABA-011125 Integrated 1:2 Balun
MACOM MABA-011125 Integrated 1:2 Balun is a fully-integrated device offering best-in-class insertion loss performance in a miniature package. Operating within a -40°C to +105°C temperature range, MABA-011125 delivers low insertion losses (2dB typical) and features 3W maximum RF input power and a 500mA maximum DC current. MACOM MABA-011125 Integrated 1:2 Balun is ideally suited to wideband applications, including balanced amplifiers, high-frequency analog-to-digital converter circuits, high-frequency digital-to-analog converter circuits, and clock distribution.Features
- 2GHz to 20GHz broadband range
- 1:2 impedance ratio
- Low insertion loss of 2dB typical
- 3W maximum RF input power
- 500mA maximum DC current
- -40°C to +105°C operating temperature range
- 3mm, 16-lead QFN package
- Lead-free and RoHS compliant
Applications
- Test and measurement
- Mil Comms
- Multi-band radios
- Clock distribution
- High-frequency ADCs and DACs
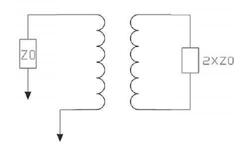
Functional Block Diagram
PCB Layout
Application Schematic
Additional Resources
Related Development Tools
Published: 2023-06-13
| Updated: 2023-08-31
